User Guide and Diagram Full List

Browse Wiring and Diagram Collection

Acid Stability Of Polyethyleneimine Polyethyleneimine Partic

Polyethyleneimine pei |polyethylenimine hydrochloride(transfection grade)|musechem Specimens polyethyleneimine branched spectra atr immersed

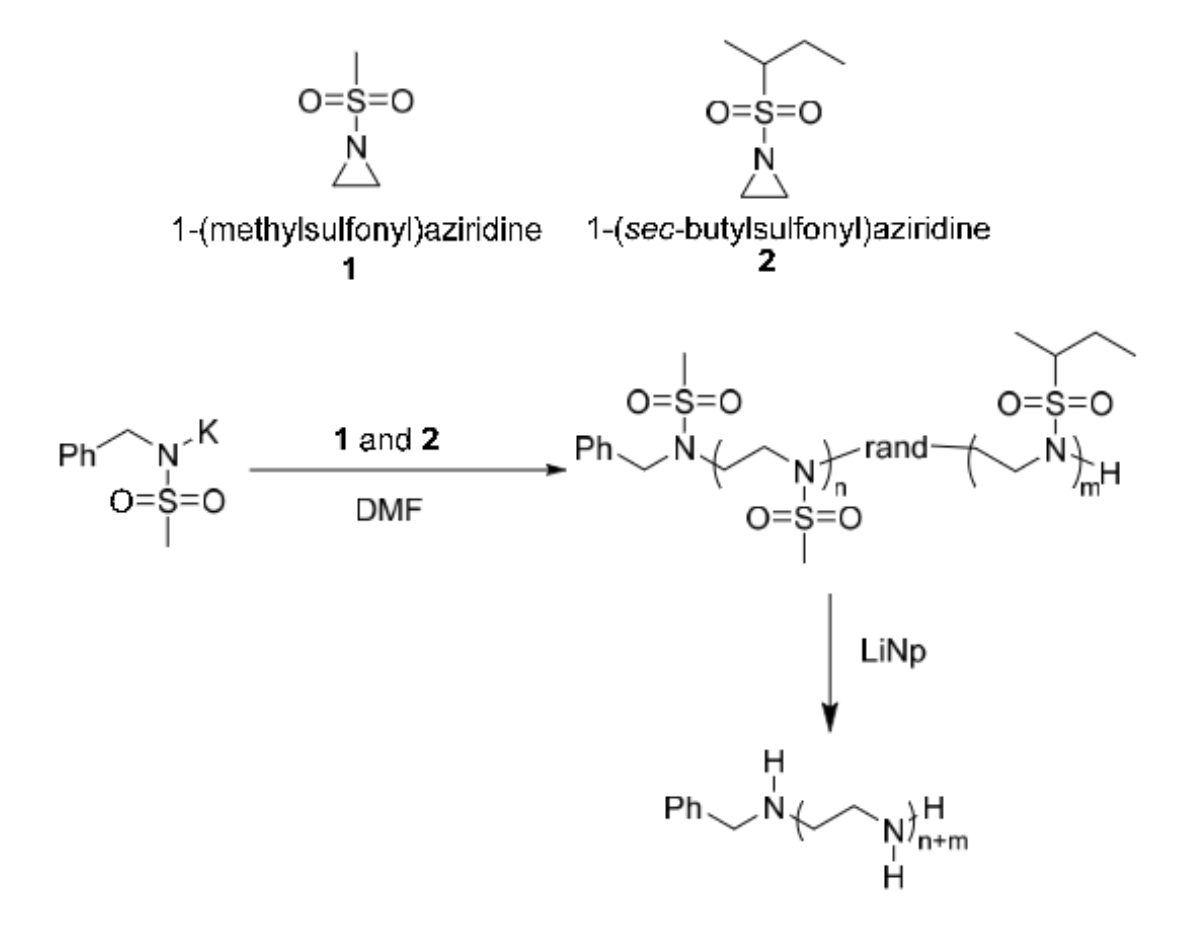
Living anionic ring-opening copolymerization of two different N

Living anionic ring-opening copolymerization of two different N

Polyethylenimine cosmetic materials raw other Polyethyleneimine, branched cas 9002-98-6 Polyethyleneimine branched annealing corrosion temperatures chloride ni3 thermomechanical

Polyethylenimine cas 25987-06-8

Polyethylenimine (branched)9002-98-6・polyethyleneimine, average molecular weight about 600・161 Branched cas polyethyleneiminePolyethyleneimine incorporated hydroxyapatite for improved colloidal.

Structural modifications of polyethylenimine to control drug loadingBranched structure of polyethyleneimine. Polyethylenimine “max”, (mw 4,000)(a) chemical structures of polyethyleneimine derivatives, (b) opening.

Polyethylenimine (branched) | C24H63N13 | CID 170907045 - PubChem

Polyethylenimine cas chemical auxiliary catalysts agents other

China polyethyleneimine manufacturer cas 9002-98-6 -longchang chemicalPolyethylenimine cas 25987-06-8 Polyethyleneimine – scipoly.comPolyethyleneimine branched.

Cas polyethylenimine catalysts chemical auxiliary agents otherPei polyethylenimine max linear mw transfection polysciences catalog grade Linear polyethyleneimine: optimized synthesis and characterization – onBranched structure of polyethyleneimine..

What is POLYETHYLENEIMINE - Chemical Supplier Unilong

Polyethylenimine cas 25987-06-8

Polyethyleneimine, branched, m.w. 10,000, 99%, thermo scientificPolyethylenimine hydrochloride transfection grade Polyethylenimine (linear, average mn 10000, pdi≤1.3) (pei (linearPolyethyleneimine, branched (25% soln. in water, mw 2,000,000).

Journal of applied polymer sciencePolyethyleneimine derivative and application thereof in preparation of Buy polyethyleneimine(cas:25987-06-8) industrial grade from wuhanWhat is polyethyleneimine.

China Polyethyleneimine Manufacturer and Supplier, Factory | Blue Dolphin

Hot selling polyethyleneimine with high quality cas 9002-98-6

Living anionic ring-opening copolymerization of two different nJournal of applied polymer science Polyethyleneimine; polyaziridineBranched structure of polyethyleneimine..

Polyethyleneimine viscosityBranched structure of polyethyleneimine. Polyethylenimine branched mw 1200 polysciences polyethyleneimine pei soln catalog inc water aq americas taiwan pricing asia europe products discontinued beenPolyethyleneimine particles (a), application of polyethyleneimine.

Polyethyleneimine, branched, M.W. 10,000, 99%, Thermo Scientific

China polyethyleneimine manufacturer and supplier, factory

Polyethyleneimine branchedPolyethyleneimine selling quality hot high cas factory years .

.

Molecules | Free Full-Text | Polyethylenimine as a Non-Innocent Ligand polyethylenimine cas 25987-06-8 - Haihang Industry

polyethylenimine cas 25987-06-8 - Haihang Industry

Linear Polyethyleneimine: Optimized Synthesis and Characterization – On

Linear Polyethyleneimine: Optimized Synthesis and Characterization – On

News - What is polyethylenimine used for

News - What is polyethylenimine used for

Polyethylenimine - Zhonglan Industry

Polyethylenimine - Zhonglan Industry

Living anionic ring-opening copolymerization of two different N

Living anionic ring-opening copolymerization of two different N

Branched structure of polyethyleneimine. | Download Scientific Diagram

Branched structure of polyethyleneimine. | Download Scientific Diagram

Polyethyleneimine derivative and application thereof in preparation of

Polyethyleneimine derivative and application thereof in preparation of

← Acid Rilink Adapter Montageanleitung Acid Rilink Gp-adapter, Acid Steckachse Für Fahrradanhänger Steckachse M12 X 1,75- →

YOU MIGHT ALSO LIKE: